前沿科研进展 — Angew Chem Int Ed Engl | 上海交通大学团队“发现新型血红素酶破解醌那霉素生物合成关键步骤”
- 分类:行业动态
- 发布时间:2026-04-03 16:16
- 访问量:
【概要描述】含氮-氮键的天然产物因其独特的化学结构和显著的生物活性,在药物研发领域具有重要价值。
前沿科研进展 — Angew Chem Int Ed Engl | 上海交通大学团队“发现新型血红素酶破解醌那霉素生物合成关键步骤”
- 分类:行业动态
- 发布时间:2026-04-03 16:16
- 访问量:
前言
含氮-氮键的天然产物因其独特的化学结构和显著的生物活性,在药物研发领域具有重要价值。以醌那霉素和磷酰肼霉素为代表的重氮苯并芴类化合物,其分子结构中含有的重氮基团被认为是抗肿瘤活性的关键药效基团。这类化合物展现出作为抗癌化疗药物的潜力,但其生物合成中氮-氮键的形成机制长期未获解析,制约了相关药物分子的生物合成机制研究和合成生物学开发。
2025年10月24日,上海交通大学生命科学技术学院、微生物代谢国家重点实验室林双君、邓子新、蒋明团队在《德国应用化学》发表研究论文“Discovery of a Heme-Dependent Enzyme Catalyzing Nitrogen–Nitrogen Bond Formation in Kinamycin Biosynthesis”。该研究发现并鉴定了一种血红素依赖性酶Alp1J,在其伴侣蛋白铁氧还蛋白Alp1I协助下催化醌那霉素生物合成中氮-氮键的形成,解析了这一长期悬而未决的生物合成步骤。

研究背景与科学问题
氮-氮键是自然界中相对罕见的化学键,存在于多种具有重要生理活性的天然产物中。从抗肿瘤药物链脲佐菌素到抗细菌药物吡咯硝霉素,含有氮-氮键的分子往往展现出独特的生物活性。醌那霉素家族化合物含有的重氮基团(-N=N-)被认为是其发挥抗肿瘤活性的关键结构单元。此前研究表明,醌那霉素及其类似物磷酰肼霉素的抗癌活性较强,使其成为具有开发潜力的抗癌药物先导分子。

图1. 醌那霉素和磷酰肼霉素的结构
尽管科学家在数十年前就发现了这类化合物,也基本阐明了其聚酮骨架的组装过程,但负责引入氮原子、构筑核心氮-氮键的酶始终未被发现。此前的研究虽通过同位素示踪等手段推测氮原子可能来自L-天冬氨酸,但究竟由何种酶、以何种方式催化氮-氮键的形成,一直缺乏直接的实验证据。这一研究空白严重阻碍了相关药物分子的生物合成机制解析和合成生物学改造,成为制约该领域发展的核心瓶颈。
关键酶的发现与鉴定
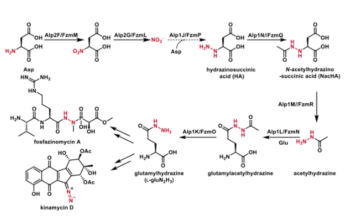
在醌那霉素重氮键的生物合成过程中,谷氨酰肼被确认为两个氮原子的供体,然而其前体hydrazinosuccinic acid(HA)的合成机制尚未阐明。谷氨酰肼同时是磷酰肼霉素和醌那霉素生物合成中氮-氮键的共同前体。

图2. 醌那霉素和磷酰肼霉素生物
合成中谷氨酰肼的推测生物合成途径
在这两种化合物的生物合成基因簇中,有5个同源基因编码的蛋白被推测参与谷氨酰肼合成,其中4个蛋白功能已获验证。由于这两个基因簇中均未发现与已知氮-氮键合成酶同源的编码蛋白,唯一未被表征的FzmP与Alp1J被推测可能负责催化肼中间体HA中氮-氮键的形成。此外,醌那霉素类天然产物的生物合成基因簇中均保守存在一个铁氧还蛋白Alp1I,其编码基因与alp1J紧密相邻。

图3. 醌那霉素和磷酰肼霉素生物合成基因簇
为确认Alp1J和Alp1I的功能,研究人员首先构建了alp1J和alp1I敲除菌株。结果显示,突变株完全丧失合成kinamycin D的能力,并积累不含氮-氮键的中间体seongomycin;而在补喂HA下游产物乙酰肼后,醌那霉素的合成得以恢复,表明Alp1J与Alp1I共同参与醌那霉素氮-氮键的生物合成。

图4. Alp1J和Alp1I体内功能研究
为进一步探究其酶学功能,研究团队开展了体外生化实验。纯化的Alp1J呈浅棕色,经吡啶血红素法鉴定为血红素b结合蛋白。然而,在尝试多种反应条件后,仍未能实现HA的体外合成,提示反应可能需要额外蛋白或辅因子参与。随后,通过在链霉菌和大肠杆菌中进行体内重构,证实Alp1J、Alp1I与已鉴定的乙酰化酶Alp1N足以合成氮-乙酰化HA(NacHA)。但在包含这三者的体外反应体系中,仍无法检测到NacHA生成,推测酶或辅因子可能对氧气敏感。后续在严格厌氧条件下进行反应,成功检测到NacHA的生成。研究还发现,Alp1J与Alp1I可形成稳定的复合物,在溶液中以二聚体形式存在,该复合结构能有效保护辅因子血红素与铁硫簇,显著提升催化效率与稳定性。

图5. Alp1J和Alp1I体外功能研究
催化机制的解析
研究团队通过同位素示踪、中间体捕获和动力学分析等实验,揭示了Alp1J-Alp1I复合物的反应路径。该复合物以L-天冬氨酸和亚硝酸盐为直接底物,通过四电子还原反应路径构建出生成重氮基团所必需的肼中间体。在这一过程中,Alp1J的血红素辅因子不仅负责结合底物,还通过多个电子传递步骤控制反应进程。
具体而言,L-天冬氨酸提供氮-氮键中的两个氮原子,亚硝酸盐则作为氧化剂参与反应。Alp1J在催化过程中需要精密调控四电子还原的顺序和方向,确保最终产物为肼中间体而非其他副产物。这一反应机制与已知的非血红素铁酶、自由基SAM酶等氮-氮键形成酶不同,代表了一种全新的生物催化机制。
该发现拓展了对血红素酶催化功能多样性的认知。此前报道的氮-氮键形成酶主要包括非血红素铁酶、自由基SAM酶等类型,而血红素依赖型氮-氮键形成酶尚属首次发现。这一机制也为通过定向进化等手段开发新型生物催化剂提供了新的模板。

图6. Alp1J-Alp1I复合物的预测结构
研究价值与应用前景
该研究在基础研究层面揭示了自然界构筑氮-氮键的新酶学机制。在应用层面,为通过基因组挖掘发现更多新型含氮-氮键活性天然产物提供了重要的探针。基于Alp1J的序列特征,可通过生物信息学手段在微生物基因组数据库中挖掘可能产生新型含氮-氮键天然产物的基因簇,从而高效发现结构新颖的先导化合物。
结合合成生物学策略,该成果为复杂分子的生物制造和非天然类似物的创制提供了基础。醌那霉素及其类似物因其抗癌活性,一直是药物化学家关注的焦点。这类化合物的化学全合成路线复杂、产率较低。随着其生物合成关键步骤的解析,可以通过对相关基因进行改造和异源表达,实现这些复杂分子的高效生物制备,或创造出结构更为多样、性能更优的非天然类似物。
参考文献:
Zhao Y, Xiao Z, Liu X, et al. Discovery of a Heme-Dependent Enzyme Catalyzing Nitrogen-Nitrogen Bond Formation in Kinamycin Biosynthesis. Angew Chem Int Ed Engl. 2025;64(50):e202513778. Doi:10.1002/anie.202513778.
搜索
沪公网安备31011502015262号
-
-